The low pass filter can be used to filter out undesired high frequencies.
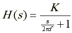
| • | Gain K: The filter gain K determines the low frequency gain of the filter. |
| • | Frequency f: The filter roll off starts at frequency f in Hz. Lower frequencies will pass the filter, higher frequencies will be filtered out. |




