High-Pass Second Order Filter

Navigation:  Toolboxes > Control Toolbox > Filter Editor > Filters >

High-Pass Second Order Filter

Previous pageReturn to chapter overviewNext page

The high pass filter can be used to filter out undesired low frequencies.

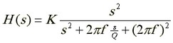
Gain K: The filter gain K determines the high frequency gain of the filter.
Frequency f: The filter roll off stops at frequency f in Hz. Higher frequencies will pass the filter, lower frequencies will be filtered out.
Quality Q: The filter quality indicates how steep the phase response will increase up to the frequency f. A quality Q > 0.707 results in a peak in the magnitude response at frequency f.

Transfer function of the filter:

EquationHighPassSecondOrder.gif (1971 bytes)