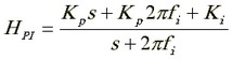
The PI Controller consists of an integrator with a proportional gain.
| • | Gain Kp: The controller gain Kp determines the high frequency gain of the controller. |
| • | Gain Ki: The controller gain Ki determines the frequency gain of the controller at frequency w = 1 [rad/s]. |
| • | Frequency fi: The integration behavior of the controller stops after frequency fi in Hz. A decrease of this frequency corresponds to a more pure integration behavior. |
![]()
that equals




