The Transfer Functions library contains a number of predefined transfer functions and a general transfer function model that opens the Linear System Editor.
name |
formula |
description |
LinearSystem |
- |
Any Linear System without time delay |
FO |
|
First Order |
FOL |
|
First Order with Lead Time |
FOLA |
|
First Order with Lag |
SOI |
|
Second Order with Integrator |
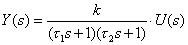
SOO |
|
Second Order Overdamped |
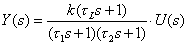
SOOL |
|
Second Order Overdamped with Lead Time |
SOU |
|
Second Order Underdamped |
SOUO |
|
Second Order Underdamped, Omega description |
name |
formula |
description |
ZOD |
|
Zero Order plus Dead Time |
FOD |
|
First Order plus Dead Time |
SOID |
|
Second Order with Integrator plus Dead Time |
SOOD |
|
Second Order Overdamped plus Dead Time |
SOOLD |
|
Second Order Overdamped with Lead Time plus Dead Time |
SOUD
|
|
Second Order Underdamped plus Dead Time |
SOUDO |
|
Second Order Underdamped plus Dead Time, Omega description |



