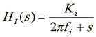
The I Controller can be used to create an almost ideal integrator (when the frequency goes to zero).
| • | Gain Ki: The filter gain Ki determines the frequency gain of the controller at frequency w = 1 [rad/s]. |
| • | Frequency fi: The integration behavior of the controller stops at frequency fi in Hz. A decrease of this frequency corresponds to a more pure integration behavior. |




